Función de transferencia de motor de CC controlada por el refuerzo:
La velocidad de un motor de CC se puede controlar variando el voltaje aplicado al marco de un motor de CC. Un motor DC excitado por separado con un voltaje de refuerzo variable encuentra la aplicación como un motor de accionamiento en un reproductor de velocidad variable.
Funcion de transferencia de un motor dc
La tensión de refuerzo variable es suministrada por un rectificador controlado en la fase. El diagrama de una función de transferencia de motor CC controlada por refuerzo se ilustra en la Figura 6.7.

El par desarrollado por el motor CC
![]()
O
Φ es un flujo de espacio aéreo
IA es una corriente de refuerzo
K es una constante
Negligando los efectos de la saturación y la reacción de la reacción, tenemos el flujo del espacio del aire proporcional a la corriente de campo. Es ![]()
Porque si la pareja desarrollada está dada por
![]()
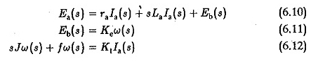
Donde KT es el motor constante. La tensión de refuerzo EA es suministrada por el convertidor de tiristores. La ecuación del circuito inusual viene dada por 
EB en la ecuación. 6.7 es el EMF rotacional (trasero) inducido en el marco y es proporcional al producto y el producto de flujo. Sin embargo, el flujo del motor es constante. En consecuencia, la ecuación dinámica del motor que da el equilibrio del par puede escribirse como 
Suponiendo que las condiciones iniciales son cero, las transformaciones del laplace de las ecuaciones 6.7, 6.8 y 6.9 pueden escribirse como

Tomando EA (s) como entrada y W (s) como salida, la función de transferencia W (s) / EA (s) se puede obtener eliminando las ecuaciones y se da en

El diagrama de bloques dado en la Figura 6.8 (a) representa la ecuación. 6.13. En última instancia, esto puede reducirse a un solo bloque dado en la Figura 6.8 (b).
Normalmente, la inductancia del refuerzo es muy pequeña y puede ser descuidada. La función de transferencia en este caso está dada por

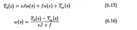
Podemos ver que el EMF trasero afecta la amortiguación del sistema. Se puede derivar una función de transferencia entre la velocidad y el par de carga suponiendo que la otra entrada de EA es cero. En este caso, la ecuación dinámica sería

Pero de las Eqs 6.10 y 6.11, tenemos

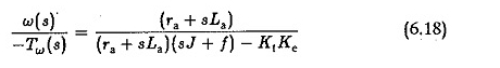
Sustitución en la ecuación. 6.15 y simplificamos que obtenemos


donde k es constante. Si los postes de esta función de transferencia son conjugados complejos, el cambio de velocidad para un cambio en el par de carga es oscilatorio.
