Fonction de transfert d’un moteur CC contrôlé par champ:
La vitesse d’un moteur à courant continu peut varier en variant le courant de champ. La vitesse peut être augmentée au-delà de la vitesse de base en diminuant le courant de champ. La figure 6.8 (C&D) montre la fonction de transfert d’un moteur à courant continu contrôlé par champ.
Fonction de transfert moteur – fonction de transfert moteur à courant continu
Dans ce type de contrôle de contrôle, le couple constant n’est pas possible car le courant d’armature augmenterait à des valeurs dangereuses à des flux faibles. Il est donc nécessaire de maintenir le courant d’armature à une valeur constante à tous les niveaux de flux. Le courant de champ est varié.
L’armature est également fournie au moyen d’un redresseur à commande de phase pour maintenir un courant d’armature constant. Tout en dérivant la fonction de transfert, les effets de la saturation et de la réaction d’armature sont négligés.



Le couple développé par le moteur
![]()
Dans une fonction de transfert d’un moteur à courant continu contrôlé par champ, comme indiqué ci-dessus, le courant d’armature est constant et le courant de champ est variable. Par conséquent, nous avons
![]()
L’équation de la fonction de transfert d’un moteur à courant continu contrôlé par champ est donnée par
![]()
L’équation dynamique du moteur est
![]()
Les transformations de Laplace des Eqs 6.22 – 6,24 avec zéro conditions initiales sont données par

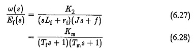
L’éliminer (s) de l’équation. 6.26 et simplifier que nous obtenons

où
Km = k2 / (rf.f) gain de moteur constant
TF = constante de temps de champ LF / RF
TM = J / F Temps mécanique constante.
Étant donné que l’inductance du champ ne peut pas être négligé, la fonction de transfert d’un moteur à courant continu contrôlé par champ ayant la vitesse en tant que quantité variable est un système de second ordre. Le diagramme de bloc du système et sa fonction de transfert sont représentés sur la figure 6.8 (d).
Comparaison des moteurs CC contrôlés et contrôlés sur le terrain:
